Abstract
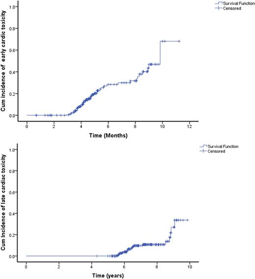
Background: The survival outcomes of mature B-cell non-Hodgkin lymphoma (NHL) patients have improved due to advances in treatment. Objectives: In this study, we aim to assess the frequency and trends of the late effects and their impact on the quality of life among these survivors at Children Cancer Hospital Egypt. Design and methods: A retrospective study including all patients diagnosed with Non-Hodgkin's lymphoma "Mature B" at CCHE 57357 in the period between January 2012 till December 2015. All of the patients were examined clinically and assessed for: Cognitive functions (by assessing IQ level using (Stanford-Binet Intelligence Scales, Fifth Edition ''SB5''), Cardiac function, Endocrine function (Thyroid functions, Growth curves), Pulmonary function (pulmonary function test), Lipid profile (triglyceride, cholesterol, HDL, LDL) and Quality of life assessment (PedsQL). Results: A total of 345 patients were diagnosed of having mature B cell lymphoma during the study period. 213 were evaluable with a male: female ratio 4:1. Staging: stage I (7.5%), II (14.1%), III (58.7%), IV (19.7%). patients < 5 years of age tend to have more affection than those > 5 years. The total mean QoL score 99 ± 0.058, the order of the affected domains, according to severity: physical functioning 92 ± 0.1, emotional functioning 92 ± 0.15, followed by social functioning 97 ± 0.08, school functioning 99 ± 0.06. IQ scores (low average 24.4%, high average 10.3%, average 63.8%). Pulmonary functions test was evaluated in 123 patients with affection detected in (57.7%) as follows: (mild degree 34.2%, moderate 14%, severe 9.3%). Cardiac reported with early onset 22% (from which 63% resolved, 36% persistent), late-onset 10.3%. Lipid profile was significantly affected, showing dyslipidemia 61.9% (high triglycerides 21.6%, low HDL 16%, high LDL 8.9%, and high total cholesterol 41.8%) while Growth affection: regarding weight (25.4% dropped 2 or more centiles, height (33.3% dropped 2 or more centiles). Conclusion: long term NHL survivors, pulmonary and cardiac functions should be followed up for possible affection. Lipid profiles and weight affection should be monitored closely. A survivorship program for NHL in children is recommended.
Disclosures
No relevant conflicts of interest to declare.
Author notes
Asterisk with author names denotes non-ASH members.

This feature is available to Subscribers Only
Sign In or Create an Account Close Modal